STA 210 - Spring 2022
Dr. Mine Çetinkaya-Rundel
This dataset is from an ongoing cardiovascular study on residents of the town of Framingham, Massachusetts. We want to examine the relationship between various health characteristics and the risk of having heart disease.
high_risk:
age: Age at exam time (in years)
education: 1 = Some High School, 2 = High School or GED, 3 = Some College or Vocational School, 4 = College
currentSmoker: 0 = nonsmoker, 1 = smoker
heart_disease <- read_csv(here::here("slides", "data/framingham.csv")) %>%
select(age, education, TenYearCHD, totChol, currentSmoker) %>%
drop_na() %>%
mutate(
high_risk = as.factor(TenYearCHD),
education = as.factor(education),
currentSmoker = as.factor(currentSmoker)
)
heart_disease# A tibble: 4,086 × 6
age education TenYearCHD totChol currentSmoker high_risk
<dbl> <fct> <dbl> <dbl> <fct> <fct>
1 39 4 0 195 0 0
2 46 2 0 250 0 0
3 48 1 0 245 1 0
4 61 3 1 225 1 1
5 46 3 0 285 1 0
6 43 2 0 228 0 0
7 63 1 1 205 0 1
8 45 2 0 313 1 0
9 52 1 0 260 0 0
10 43 1 0 225 1 0
# … with 4,076 more rows
From age and education:
| term | estimate | std.error | statistic | p.value | conf.low | conf.high |
|---|---|---|---|---|---|---|
| (Intercept) | -5.508 | 0.311 | -17.692 | 0.000 | -6.125 | -4.904 |
| age | 0.076 | 0.006 | 13.648 | 0.000 | 0.065 | 0.087 |
| education2 | -0.245 | 0.113 | -2.172 | 0.030 | -0.469 | -0.026 |
| education3 | -0.236 | 0.135 | -1.753 | 0.080 | -0.504 | 0.024 |
| education4 | -0.024 | 0.150 | -0.161 | 0.872 | -0.323 | 0.264 |
\[ \small{\log\Big(\frac{\hat{\pi}}{1-\hat{\pi}}\Big) = -5.385 + 0.073 ~ \text{age} - 0.242 ~ \text{ed2} - 0.235 ~ \text{ed3} - 0.020 ~ \text{ed4}} \]
Hypotheses: \(H_0: \beta_j = 0 \hspace{2mm} \text{ vs } \hspace{2mm} H_a: \beta_j \neq 0\)
Test Statistic: \[z = \frac{\hat{\beta}_j - 0}{SE_{\hat{\beta}_j}}\]
P-value: \(P(|Z| > |z|)\), where \(Z \sim N(0, 1)\), the Standard Normal distribution
We can calculate the .vocab[C% confidence interval] for \(\beta_j\) as the following:
\[ \Large{\hat{\beta}_j \pm z^* SE_{\hat{\beta}_j}} \]
where \(z^*\) is calculated from the \(N(0,1)\) distribution
This is an interval for the change in the log-odds for every one unit increase in \(x_j\).
The change in odds for every one unit increase in \(x_j\).
\[ \Large{e^{\hat{\beta}_j \pm z^* SE_{\hat{\beta}_j}}} \]
Interpretation: We are \(C\%\) confident that for every one unit increase in \(x_j\), the odds multiply by a factor of \(e^{\hat{\beta}_j - z^* SE_{\hat{\beta}_j}}\) to \(e^{\hat{\beta}_j + z^* SE_{\hat{\beta}_j}}\), holding all else constant.
age| term | estimate | std.error | statistic | p.value | conf.low | conf.high |
|---|---|---|---|---|---|---|
| (Intercept) | -5.508 | 0.311 | -17.692 | 0.000 | -6.125 | -4.904 |
| age | 0.076 | 0.006 | 13.648 | 0.000 | 0.065 | 0.087 |
| education2 | -0.245 | 0.113 | -2.172 | 0.030 | -0.469 | -0.026 |
| education3 | -0.236 | 0.135 | -1.753 | 0.080 | -0.504 | 0.024 |
| education4 | -0.024 | 0.150 | -0.161 | 0.872 | -0.323 | 0.264 |
Hypotheses:
\[ H_0: \beta_{1} = 0 \hspace{2mm} \text{ vs } \hspace{2mm} H_a: \beta_{1} \neq 0 \]
age| term | estimate | std.error | statistic | p.value | conf.low | conf.high |
|---|---|---|---|---|---|---|
| (Intercept) | -5.508 | 0.311 | -17.692 | 0.000 | -6.125 | -4.904 |
| age | 0.076 | 0.006 | 13.648 | 0.000 | 0.065 | 0.087 |
| education2 | -0.245 | 0.113 | -2.172 | 0.030 | -0.469 | -0.026 |
| education3 | -0.236 | 0.135 | -1.753 | 0.080 | -0.504 | 0.024 |
| education4 | -0.024 | 0.150 | -0.161 | 0.872 | -0.323 | 0.264 |
Test statistic:
\[ z = \frac{0.0733 - 0}{0.00547} = 13.4 \]
age| term | estimate | std.error | statistic | p.value | conf.low | conf.high |
|---|---|---|---|---|---|---|
| (Intercept) | -5.508 | 0.311 | -17.692 | 0.000 | -6.125 | -4.904 |
| age | 0.076 | 0.006 | 13.648 | 0.000 | 0.065 | 0.087 |
| education2 | -0.245 | 0.113 | -2.172 | 0.030 | -0.469 | -0.026 |
| education3 | -0.236 | 0.135 | -1.753 | 0.080 | -0.504 | 0.024 |
| education4 | -0.024 | 0.150 | -0.161 | 0.872 | -0.323 | 0.264 |
P-value:
\[ P(|Z| > |13.4|) \approx 0 \]
age| term | estimate | std.error | statistic | p.value | conf.low | conf.high |
|---|---|---|---|---|---|---|
| (Intercept) | -5.508 | 0.311 | -17.692 | 0.000 | -6.125 | -4.904 |
| age | 0.076 | 0.006 | 13.648 | 0.000 | 0.065 | 0.087 |
| education2 | -0.245 | 0.113 | -2.172 | 0.030 | -0.469 | -0.026 |
| education3 | -0.236 | 0.135 | -1.753 | 0.080 | -0.504 | 0.024 |
| education4 | -0.024 | 0.150 | -0.161 | 0.872 | -0.323 | 0.264 |
Conclusion:
The p-value is very small, so we reject \(H_0\). The data provide sufficient evidence that age is a statistically significant predictor of whether someone is high risk of having heart disease, after accounting for education.
\[ \log L = \sum\limits_{i=1}^n[y_i \log(\hat{\pi}_i) + (1 - y_i)\log(1 - \hat{\pi}_i)] \]
Measure of how well the model fits the data
Higher values of \(\log L\) are better
Deviance = \(-2 \log L\)
Suppose there are two models:
We want to test the hypotheses
\[ \begin{aligned} H_0&: \beta_{q+1} = \dots = \beta_p = 0 \\ H_A&: \text{ at least 1 }\beta_j \text{ is not } 0 \end{aligned} \]
To do so, we will use the Drop-in-deviance test, also known as the Nested Likelihood Ratio test
Hypotheses:
\[ \begin{aligned} H_0&: \beta_{q+1} = \dots = \beta_p = 0 \\ H_A&: \text{ at least 1 }\beta_j \text{ is not } 0 \end{aligned} \]
Test Statistic: \[G = (-2 \log L_{reduced}) - (-2 \log L_{full})\]
P-value: \(P(\chi^2 > G)\), calculated using a \(\chi^2\) distribution with degrees of freedom equal to the difference in the number of parameters in the full and reduced models
Should we add currentSmoker to this model?
| term | estimate | std.error | statistic | p.value | conf.low | conf.high |
|---|---|---|---|---|---|---|
| (Intercept) | -5.508 | 0.311 | -17.692 | 0.000 | -6.125 | -4.904 |
| age | 0.076 | 0.006 | 13.648 | 0.000 | 0.065 | 0.087 |
| education2 | -0.245 | 0.113 | -2.172 | 0.030 | -0.469 | -0.026 |
| education3 | -0.236 | 0.135 | -1.753 | 0.080 | -0.504 | 0.024 |
| education4 | -0.024 | 0.150 | -0.161 | 0.872 | -0.323 | 0.264 |
currentSmoker to the model?First model, reduced:
Second model, full:
currentSmoker to the model?Calculate deviance for each model:
[1] 3244.187
[1] 3221.901
currentSmoker to the model?Calculate the p-value using a pchisq(), with degrees of freedom equal to the number of new model terms in the second model:
Conclusion: The p-value is very small, so we reject \(H_0\). The data provide sufficient evidence that the coefficient of currentSmoker is not equal to 0. Therefore, we should add it to the model.
We can use the anova function to conduct this test
Add test = "Chisq" to conduct the drop-in-deviance test
Use AIC or BIC for model selection
\[ \begin{align} &AIC = - 2 * \log L - \color{purple}{n\log(n)}+ 2(p +1)\\[5pt] &BIC =- 2 * \log L - \color{purple}{n\log(n)} + log(n)\times(p+1) \end{align} \]
glance() functionLet’s look at the AIC for the model that includes age, education, and currentSmoker
Let’s compare the full and reduced models using AIC.
Based on AIC, which model would you choose?
Let’s compare the full and reduced models using BIC
Based on BIC, which model would you choose?
Let’s predict high_risk from age, total cholesterol, and whether the patient is a current smoker:
risk_fit <- logistic_reg() %>%
set_engine("glm") %>%
fit(high_risk ~ age + totChol + currentSmoker,
data = heart_disease, family = "binomial")
tidy(risk_fit, conf.int = TRUE) %>%
kable(digits = 3)| term | estimate | std.error | statistic | p.value | conf.low | conf.high |
|---|---|---|---|---|---|---|
| (Intercept) | -6.673 | 0.378 | -17.647 | 0.000 | -7.423 | -5.940 |
| age | 0.082 | 0.006 | 14.344 | 0.000 | 0.071 | 0.094 |
| totChol | 0.002 | 0.001 | 1.940 | 0.052 | 0.000 | 0.004 |
| currentSmoker1 | 0.443 | 0.094 | 4.733 | 0.000 | 0.260 | 0.627 |
Linearity: The log-odds have a linear relationship with the predictors.
Randomness: The data were obtained from a random process
Independence: The observations are independent from one another.
The empirical logit is the log of the observed odds:
\[ \text{logit}(\hat{p}) = \log\Big(\frac{\hat{p}}{1 - \hat{p}}\Big) = \log\Big(\frac{\# \text{Yes}}{\# \text{No}}\Big) \]
If the predictor is categorical, we can calculate the empirical logit for each level of the predictor.
heart_disease %>%
count(currentSmoker, high_risk) %>%
group_by(currentSmoker) %>%
mutate(prop = n/sum(n)) %>%
filter(high_risk == "1") %>%
mutate(emp_logit = log(prop/(1-prop)))# A tibble: 2 × 5
# Groups: currentSmoker [2]
currentSmoker high_risk n prop emp_logit
<fct> <fct> <int> <dbl> <dbl>
1 0 1 301 0.145 -1.77
2 1 1 318 0.158 -1.67
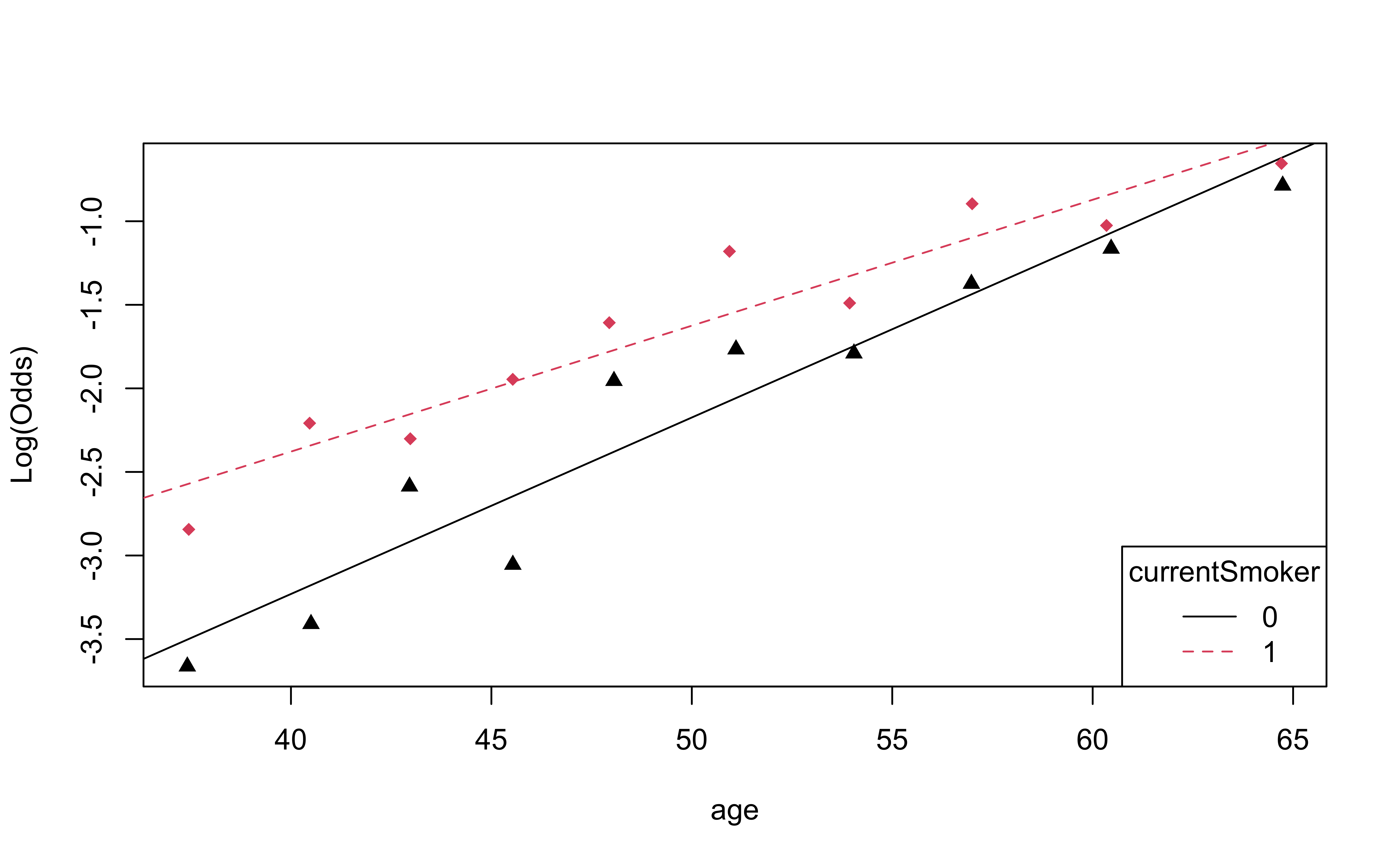
Divide the range of the predictor into intervals with approximately equal number of cases. (If you have enough observations, use 5 - 10 intervals.)
Calculate the mean value of the predictor in each interval.
Compute the empirical logit for each interval.
Then, create a plot of the empirical logit versus the mean value of the predictor in each interval.
✅ The linearity condition is satisfied. There is a linear relationship between the empirical logit and the predictor variables.
We can check the randomness condition based on the context of the data and how the observations were collected.
✅ The randomness condition is satisfied. We do not have reason to believe that the participants in this study differ systematically from adults in the U.S. in regards to health characteristics and risk of heart disease.
✅ The independence condition is satisfied. It is reasonable to conclude that the participants’ health characteristics are independent of one another.
